Komplexe Zahlen Darstellungsformen Wikibooks Sammlung Freier Lehr Sach Und Fachbucher

Komplexe Zahlen Darstellungsformen Wikibooks Sammlung Freier Lehr Sach Und Fachbucher

Komplexe Zahlen In Zahlenebene Darstellen Mathelounge

Komplexe Zahlen In Zahlenebene Darstellen Mathelounge

Komplexe Zahlen Gausssche Zahlenebene Youtube

Komplexe Zahlen Gausssche Zahlenebene Youtube

Die Polardarstellung Komplexer Zahlen

Die Polardarstellung Komplexer Zahlen

>

Imaginare Zahlen

Imaginare Zahlen

Komplexe Zahlen Und Funktionen Mit Geogebra Youtube

Komplexe Zahlen Und Funktionen Mit Geogebra Youtube

Komplexe Zahl Addieren Subtrahieren Betrag Komplexer Zahlen

Komplexe Zahl Addieren Subtrahieren Betrag Komplexer Zahlen

Komplexe Zahlen In Polarer Oder Rechteckiger Form

Komplexe Zahlen In Polarer Oder Rechteckiger Form

Komplexe Zahlen

Komplexe Zahlen

Komplexe Zahlen Und Ortskurven

Komplexe Zahlen Und Ortskurven

Komplex Zahlen Polarform Exponentialform Imaginare Zahlen

Komplex Zahlen Polarform Exponentialform Imaginare Zahlen

Radizieren Von Komplexen Zahlen Geogebra

Radizieren Von Komplexen Zahlen Geogebra

3 1 Die Komplexen Zahlen

3 1 Die Komplexen Zahlen

Https Encrypted Tbn0 Gstatic Com Images Q Tbn And9gctllcx8l8c8mimayp2mgdwagyhdta4lexbl0a Usqp Cau

Https Encrypted Tbn0 Gstatic Com Images Q Tbn And9gctllcx8l8c8mimayp2mgdwagyhdta4lexbl0a Usqp Cau

Http Www Math Grain De Download M1 Komplex 4a Kompl Zahl Pdf

Http Www Math Grain De Download M1 Komplex 4a Kompl Zahl Pdf

Http Www Gm Fh Koeln De Konen Mathe2 Ss Zd2 Kap11 Pdf

Http Www Gm Fh Koeln De Konen Mathe2 Ss Zd2 Kap11 Pdf

7 Die Komplexen Zahlen

7 Die Komplexen Zahlen

Komplexe Zahl Einheitskreis Gausssche Zahlenebene Wurzel

Komplexe Zahl Einheitskreis Gausssche Zahlenebene Wurzel

Die Komplexe Zahlenebene Artikel Khan Academy

Die Komplexe Zahlenebene Artikel Khan Academy

Multiplikation Komplexer Zahlen Division Multiplizieren Graph

Multiplikation Komplexer Zahlen Division Multiplizieren Graph

Polarform Bzw Polardarstellung Komplexer Zahlen Serlo Mathe Fur Nicht Freaks Wikibooks Sammlung Freier Lehr Sach Und Fachbucher

Polarform Bzw Polardarstellung Komplexer Zahlen Serlo Mathe Fur Nicht Freaks Wikibooks Sammlung Freier Lehr Sach Und Fachbucher

Komplexe Zahlen Polardarstellung W 3 8i Losungen Berechnen Und Zeichnen Mathelounge

Komplexe Zahlen Polardarstellung W 3 8i Losungen Berechnen Und Zeichnen Mathelounge

Https Encrypted Tbn0 Gstatic Com Images Q Tbn And9gcrlnx3spnzirg3em5pwjh6dm6dthiecovvafinfw0smd2sawy42 Usqp Cau

Https Encrypted Tbn0 Gstatic Com Images Q Tbn And9gcrlnx3spnzirg3em5pwjh6dm6dthiecovvafinfw0smd2sawy42 Usqp Cau

Betrag Von Komplexer Zahl Bilden Mathelounge

Betrag Von Komplexer Zahl Bilden Mathelounge

Matlab Komplexe Zahlen Betrag Phase Zeichnen Youtube

Matlab Komplexe Zahlen Betrag Phase Zeichnen Youtube

Rechnen Mit Komplexen Zahlen

Rechnen Mit Komplexen Zahlen

Http Www2 Hs Esslingen De Kamelzer Iwb1 02komplexezahlen Aufgaben Pdf

Http Www2 Hs Esslingen De Kamelzer Iwb1 02komplexezahlen Aufgaben Pdf

Mathematischer Vorkurs Zum Studium Der Physik

Mathematischer Vorkurs Zum Studium Der Physik

Quantenmechanik 8

Quantenmechanik 8

Komplexe Zahlen Grundlagen

Komplexe Zahlen Grundlagen

Komplexe Zahlen Eulersche Identitat Polarform Mathehilfe Online Mathe By Daniel Jung Youtube

Komplexe Zahlen Eulersche Identitat Polarform Mathehilfe Online Mathe By Daniel Jung Youtube

Komplexe Zahlen Matheguru

Komplexe Zahlen Matheguru

Komplexe Zahlen Multiplikation Multiplizieren

Komplexe Zahlen Multiplikation Multiplizieren

Https Ethz Ch Content Dam Ethz Special Interest Dual Educeth Dam Documents Unterrichtsmaterialien Mathematik Komplexe Zahlen Schwerpunktfach Komplexe Zahlen Iniotakis Pdf

Https Ethz Ch Content Dam Ethz Special Interest Dual Educeth Dam Documents Unterrichtsmaterialien Mathematik Komplexe Zahlen Schwerpunktfach Komplexe Zahlen Iniotakis Pdf

Aufgaben Zu Komplexen Zahlen Serlo Mathe Fur Nicht Freaks Wikibooks Sammlung Freier Lehr Sach Und Fachbucher

Aufgaben Zu Komplexen Zahlen Serlo Mathe Fur Nicht Freaks Wikibooks Sammlung Freier Lehr Sach Und Fachbucher

Komplexe Zahlen Und Polarkoordinaten Online Kurse

Komplexe Zahlen Und Polarkoordinaten Online Kurse

Komplexe Zahlen Calculator

Komplexe Zahlen Calculator

Wurzeln Aus Komplexen Zahlen Youtube

Wurzeln Aus Komplexen Zahlen Youtube

W01 Komplexe Zahlen In Polarform Umwandeln Youtube

W01 Komplexe Zahlen In Polarform Umwandeln Youtube

1 1 Komplexe Zahlenmengen Darstellen Mathe 2 Fur Ingenieure Youtube

1 1 Komplexe Zahlenmengen Darstellen Mathe 2 Fur Ingenieure Youtube

Zeigerdiagramm Und Trigonometrische Darstellung Einer Komplexen Zahl

Zeigerdiagramm Und Trigonometrische Darstellung Einer Komplexen Zahl

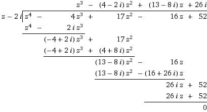
Polynomdivision Mit Einer Komplexen Zahl Mathelounge

Polynomdivision Mit Einer Komplexen Zahl Mathelounge

Komplexe Zahlen

Komplexe Zahlen

Mengenlehre Komplexe Zahlen Erklart Studybees

Mengenlehre Komplexe Zahlen Erklart Studybees

Polarform Komplexer Zahlen Geogebra

Polarform Komplexer Zahlen Geogebra

Komplexe Zahlen 7 Ortskurven Gauss Sche Ebene Youtube

Komplexe Zahlen 7 Ortskurven Gauss Sche Ebene Youtube

Komplexe Zahlen Gleichungen Losen Youtube

Komplexe Zahlen Gleichungen Losen Youtube

Https Encrypted Tbn0 Gstatic Com Images Q Tbn And9gctoue5z 9palxhbx4us0xqnc 5kgmnfscvgxy2eabh3 G1e2vxi Usqp Cau

Https Encrypted Tbn0 Gstatic Com Images Q Tbn And9gctoue5z 9palxhbx4us0xqnc 5kgmnfscvgxy2eabh3 G1e2vxi Usqp Cau

Source : pinterest.com